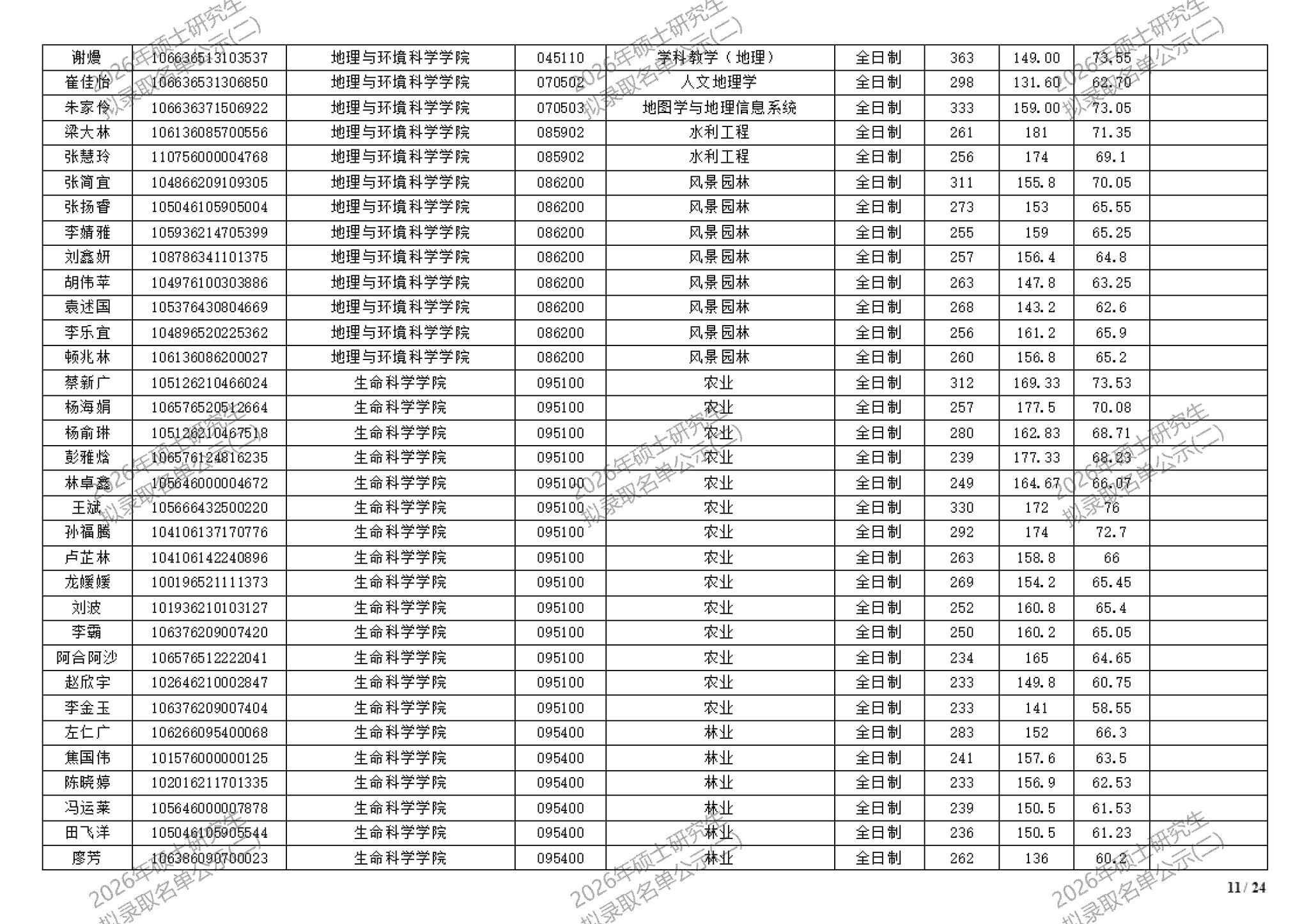
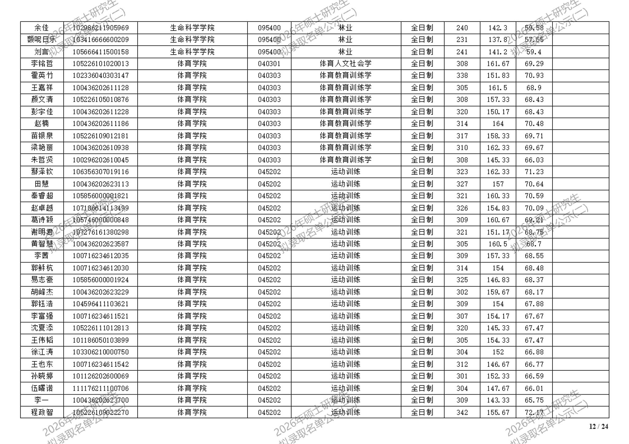
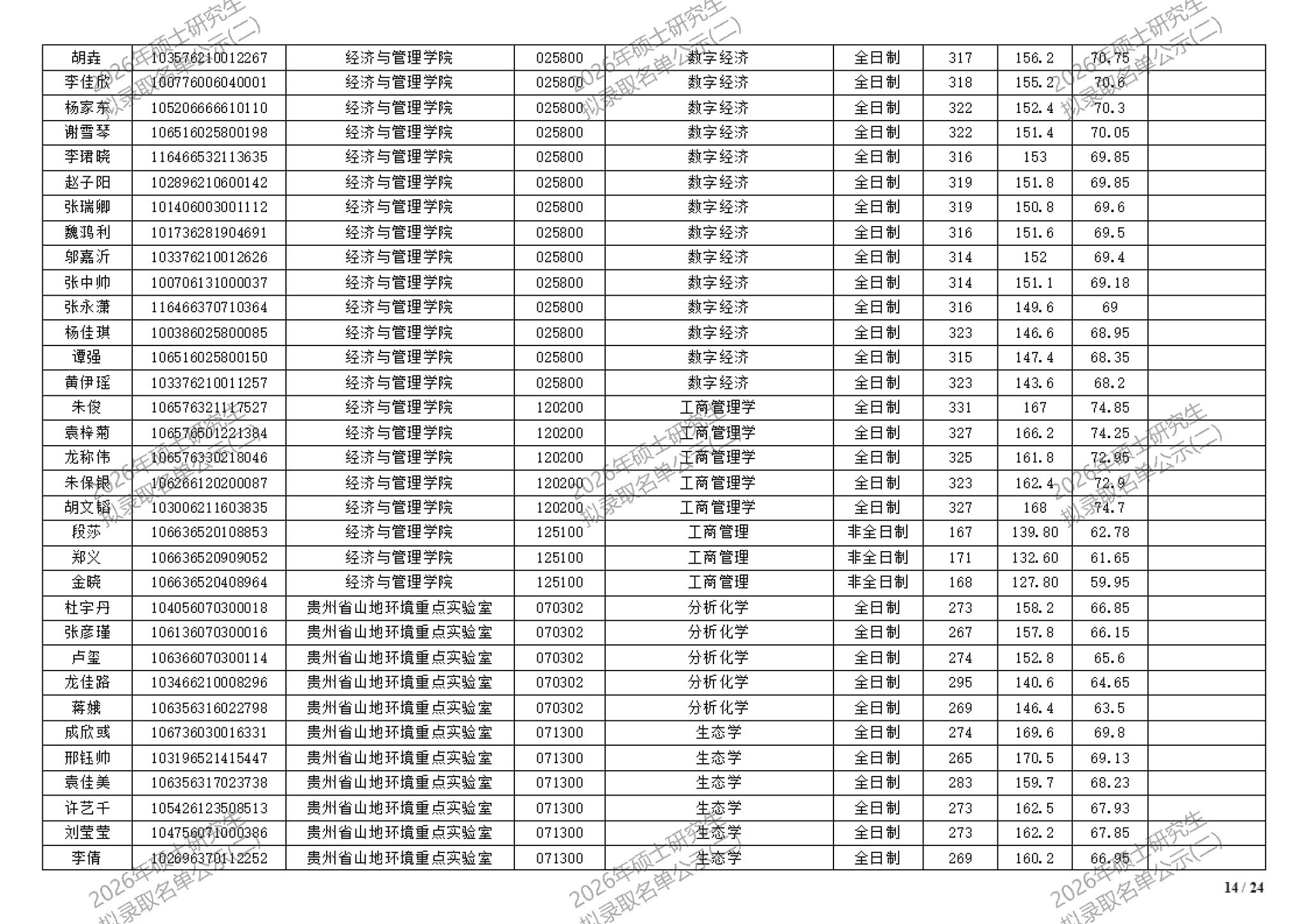
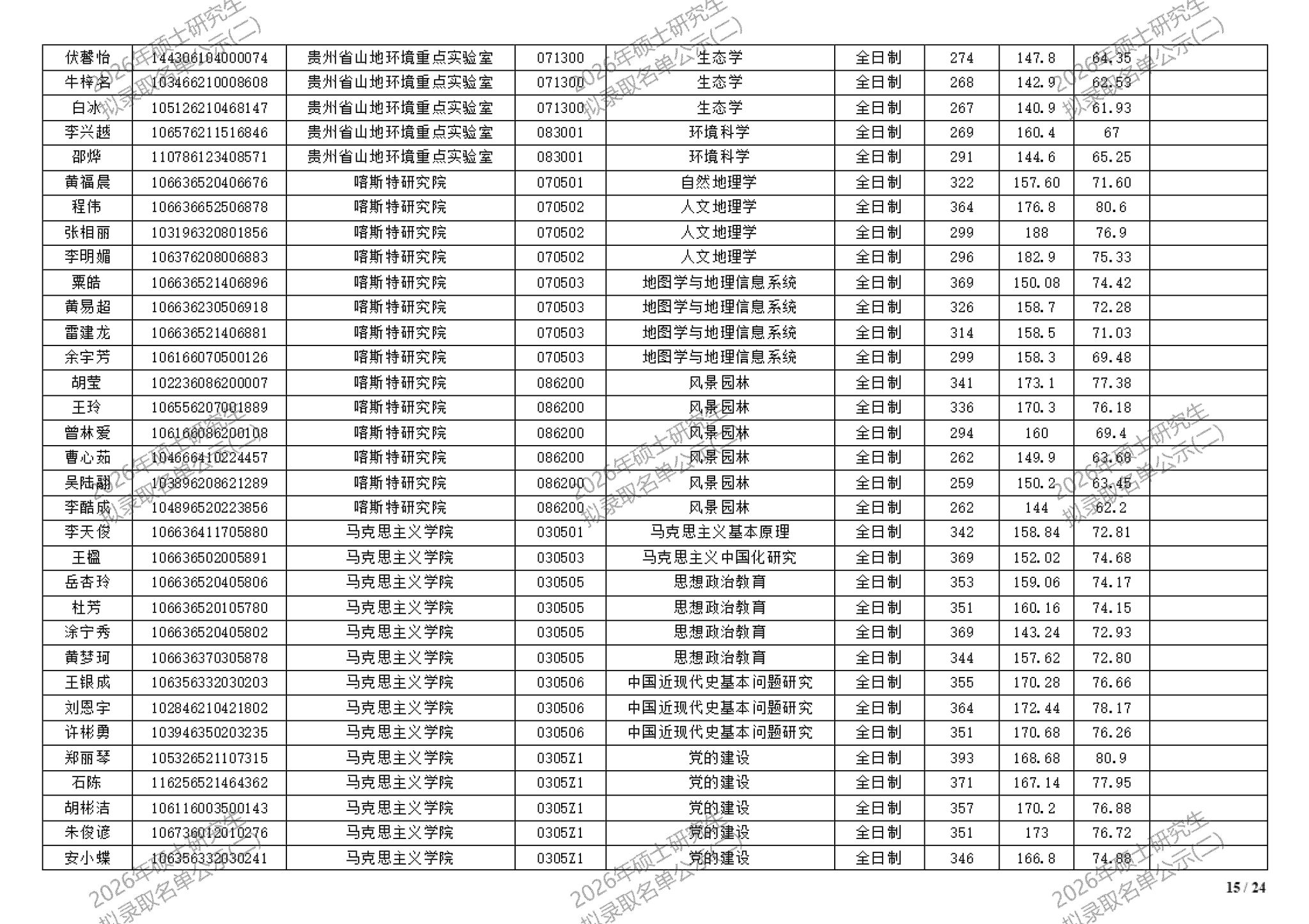
根据教育部相关文件要求与贵州省招生考试院的统一工作部署,经审核,现将我校2026级硕士研究生拟录取名单(不含已录取的推免生)予以公示,最终录取名单将以上报教育部审核通过为准。公示期:2026年4月27日——5月3日。如有异议,请在公示期内将反映材料(署具真实姓名)以书面形式提交至贵州师范大学研究生招生办公室。
联系电话: 0851—83227112(贵州师范大学研究生招生办公室)
重要提示:拟录取考生需经教育部录检通过后才能被正式录取,最终是否录取以教育部录检结果为准。拟录取名单中的考生若因学籍学历校验、政审等问题造成录检不合格的,学校将根据教育部有关文件要求不予录取,并在拟录取公示名单中取消录取资格。
贵州师范大学研究生招生办公室
2026年4月27日























